完整详情请参见 按地理范围划分的功能。
- 此功能适用于符合条件的指定澳大利亚 ANZ Transactive - Global 客户。
- Google Chrome 是获得最佳客户分析体验的推荐浏览器。
客户分析视频
关于客户分析
ANZ Transactive - Global 中的客户分析利用 ANZ 的零售消费数据,将澳大利亚消费者的消费习惯转化为可自定义的图表、图形和地图,并显示在您的仪表板上。您的仪表板上提供的信息是您组织独有的。
消费洞察是通过信用卡、借记卡、BPAY 和直接借记交易捕获的数据生成的。这些数据是汇总的、去识别化的,并且具有普遍性,不包含任何个人客户的机密信息。
您可以使用图表、图形和地图,根据客户的人口统计信息(例如年龄和性别)以及邮政编码或地区来分析他们的消费习惯。
仪表板还可以提供过去 24 个月内的平均客户支出、平均交易支出和平均交易频率。
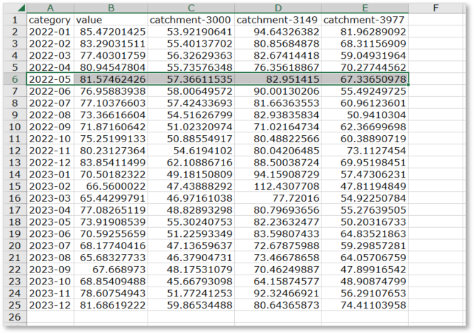
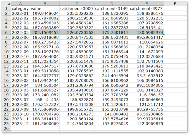
您可以从仪表板将图表、图形和地图内容导出为 CSV 文件以进行进一步分析。
客户分析每月第二周更新。
全国摘要面板显示您组织过去 24 个月的消费者支出指标,包括总客户数、总交易数、平均客户支出、平均交易支出以及每个年龄段的平均交易频率等信息。
控制栏允许您根据筛选选择(例如时间范围)管理仪表板内容。实体将默认为您的组织实体名称。
时间范围 - 选择:
- 上个月
- 过去 3 个月
- 过去 6 个月
- 过去 12 个月
- 过去 24 个月
单击屏幕右下角的铅笔图标以编辑您的仪表板。
单击加号图标以在仪表板上添加或删除小部件,然后单击保存图标以保存屏幕上的任何更改。您还可以使用“x”从仪表板视图中删除小部件。
单击小部件中的导出图标,将 CSV 文件查看并保存到您首选的位置。
- 独立客户数
- 平均客户支出
- 平均交易支出
- 平均客户频率
- 最有价值客户百分比
单击加号或减号按钮可放大或缩小热图。
使用搜索位置字段,输入郊区、地区、地点(例如,按位置划分的零售店)或邮政编码,以放大特定覆盖区域。
最多选择三个覆盖区域以比较可用图表中的数据。您可以通过单击并拖动圆圈来展开或缩小覆盖区域。
- 将鼠标悬停在图形和图表上可查看更多详细信息。
- 单击 x 轴数据标签可显示或隐藏图形和图表上的信息。
| 图表类型 | 描述 |
| ABS 年龄分布 | 此图表显示按年龄组划分的人口百分比。数据来自澳大利亚统计局 (ABS) 的最新人口普查。 将其与客户人口统计图表进行比较时,有助于了解您在总人口中的代表性是过高还是过低。 ABS 数据高于您人口统计数据的年龄组,是相对于其他年龄组而言,可能具有更大增长空间的群体。 |
| 平均客户支出 | 此图表显示按年龄组划分的平均客户支出。它有助于识别客户的价值,帮助您了解哪些年龄组的总体支出最多。 该图表通过将总交易价值除以每个年龄组的独立客户数来计算。 如果选择的数据不足,可能会出现空白和孤立点。 |
| 平均交易频率 | 此图表显示按年龄组划分的平均交易频率。它有助于识别哪些客户与您进行交易的频率更高。 该图表通过将总交易数除以每个年龄组的客户数来计算。 如果选择的数据不足,可能会出现空白和孤立点。 |
| 平均交易支出 | 此图表显示按年龄组划分的平均客户支出。它有助于识别哪些客户在单笔交易中支出最多。该图表通过将总交易价值除以每个年龄组的交易数来计算。 如果选择的数据不足,可能会出现空白和孤立点。 |
| 客户人口统计 | 此图表显示按年龄组划分的独立个人客户百分比。它有助于识别您最大的客户群在哪里。 如果选择的数据不足,可能会出现空白和孤立点。 |
| 客户价值细分 | 此图表根据客户的平均价值将客户分为 10 个细分,其中 #1 细分是价值最高的 10% 客户,#10 细分是价值最低的 10% 客户。 倾斜的图表表明一小部分客户对总支出做出了巨大贡献。 单击某个细分以显示他们占总支出的比例。单击底部的图例可在您选择的覆盖区域之间切换。 |
| 按年龄组划分的客户价值细分 | 此图表显示每个客户细分中客户年龄段的分布。 它可以帮助指示在您最有价值的客户细分中,来自特定年龄组的客户是否占有很高比例。 单击底部的图例可在您选择的覆盖区域之间切换。 |
| 性别分布 | 此图表显示根据可用数据按性别划分的独立客户百分比。它有助于识别您最大的客户群在哪里,以及您在总人口中的代表性是过高还是过低。 ABS 数据来自澳大利亚统计局的最新人口普查。ABS 数据高于您人口统计数据的性别,是可能具有更大增长空间的性别。 单击底部的图例可在您选择的覆盖区域之间切换。 |
| 月平均客户支出 | 此图表显示每月平均客户支出。它有助于识别您的客户随时间推移的价值,特别是他们每月总共支出多少。 如果此图表呈上升趋势,则意味着您的客户总体上在您的商店中支出更多。 使用切换按钮切换到标准化视图。标准化视图表示与图表中最早可用数据点的基线相比的百分比。 如果选择的数据不足,可能会出现空白和孤立点。 |
| 月平均交易价值 | 此图表显示每月平均交易价值。它有助于识别客户消费习惯随时间推移的变化,特别是他们每次交易支出多少。 如果此图表呈上升趋势,则意味着客户每次结账时支出更多。 使用切换按钮切换到标准化视图。标准化视图表示与图表中最早可用数据点的基线相比的百分比。 如果选择的数据不足,可能会出现空白和孤立点。 |
| 月独立客户数 | 此图表显示每月独立客户数。它有助于识别随时间推移有多少客户在您的商店购物。 如果此图表呈上升趋势,则意味着每月有更多的总客户访问您的商店。 使用切换按钮切换到标准化视图。标准化视图表示与图表中最早可用数据点的基线相比的百分比。 如果选择的数据不足,可能会出现空白和孤立点。 |
| 最近频率分布(过去 24 个月) | 此图表显示了您的客户进行交易的频率与上次交易以来的时间之间的关系。 图表右侧的桶包含频繁进行交易的客户,反之亦然。图表底部的桶包含最近进行过交易的客户。圆圈表示哪些桶包含超过 5% 的客户。 单击底部的图例可在您选择的覆盖区域之间切换。 |
将其与客户人口统计进行比较时,有助于了解您在总人口中的代表性是过高还是过低。
ABS 数据高于您人口统计数据的年龄组,是相对于其他年龄组而言,可能具有更大增长空间的群体。
该图表通过将总交易价值除以每个年龄组的独立客户数来计算。
该图表通过将总交易数除以每个年龄组的客户数来计算。
倾斜的图表表明一小部分客户对总支出做出了巨大贡献。
导出的文件示例:
它可以帮助指示在您最有价值的客户细分中,来自特定年龄组的客户是否占有很高比例。
ABS 数据来自澳大利亚统计局的最新人口普查。ABS 数据高于您人口统计数据的性别,是可能具有更大增长空间的性别。
如果此图表呈上升趋势,则意味着您的客户总体上在您的商店中支出更多。
如果此图表呈上升趋势,则意味着客户每次结账时支出更多。
导出的文件示例:
如果此图表呈上升趋势,则意味着每月有更多的总客户访问您的商店。
图表右侧的桶包含频繁进行交易的客户,反之亦然。图表底部的桶包含最近进行过交易的客户。圆圈表示哪些桶包含超过 5% 的客户。
导出的文件示例: