Full details are available in Features by Geography.
- This functionality is available for eligible selected Australian ANZ Transactive - Global customers.
- Google Chrome is the recommended browser for optimum Customer Analysis experience.
Customer Analysis video
About Customer Analysis
Customer Analysis in ANZ Transactive - Global, uses ANZ’s retail spending data and translates the Australian consumer spending habits into customisable graphs, charts, and maps displayed on your dashboard. The information provided on your dashboard is unique to your organisation.
Spending insights are generated through data captured from credit card, debit card, BPAY and direct debit transactions. The data is aggregated, deidentified, and general in nature and contains no individual customer confidential information.
Using the graphs, charts and maps, you can analyse your customer's spending habits based on their demographic such as age and gender, and by postcode or region.
The dashboard can also provide the average customer spend, average transaction spend, and average transaction frequency up to the last 24 months.
From the dashboard, you can export the graphs, charts, and map content into a CSV file for further analysis.
Customer Analysis is updated on the second week of every month.
The National Summary Panel shows consumer spending metrics for your organisation up to the last 24 months and includes information such as the total customer count, total transaction count, average customer spend, average transaction spend, and average transaction frequency per age group.
The control bar allows you to manage your dashboard content based on your filtered selections, such as the time range. The entity will default with your organisation entity name.
Time Range - Choose from:
- Last Month
- Last 3 Months
- Last 6 Months
- Last 12 Months
- Last 24 Months
Click the pencil icon from the bottom right of your screen to edit your dashboard.
Click the Plus icon to add or remove widgets on your dashboard, then click the Save icon to save any changes to the screen. You can also use the 'x' to remove the widget from the dashboard view.
Click the export icon from the widget to view and save the CSV file to your preferred location.
- Unique Customers
- Average Customer Spend
- Average Transaction Spend
- Average Customer Frequency
- Most Valuable Customers %
Click the Plus or Minus buttons to zoom in or zoom out of the heatmap.
Using the Search for a location field, enter a suburb, region, place (e.g., retail store by location) or postcode, to zoom in on a particular catchment area.
Select up to three catchment areas to compare data across your available charts. You can expand or minimise the catchment area by clicking and dragging the circle.
- Hover over the graphs and charts to view more details.
- Click the x-axis data labels to show or hide the information on the graphs and charts.
| CHART TYPE | DESCRIPTION |
| ABS Age Distribution | This chart shows the percentage of the population by age group. The data is from the Australian Bureau of Statistics’ (ABS) most recent census. It is useful when comparing with the Customer Demographics chart to understand where you are over or under-represented in relation to the total population. Those age groups where the ABS data is higher than your demographics, are groups that potentially have a larger area for growth over others. |
| Average Customer Spend | This chart shows the average customer spend by age group. It is useful in identifying the value of your customers, helping your understanding of which age groups spend the most overall. The chart is calculated by dividing the total transaction value with the unique customer count for each age group. If there is insufficient data in selection, gaps and isolated points may occur. |
| Average Transaction Frequency | This chart shows the average transaction frequency by age group. It is useful in identifying which customers are transacting with you more frequently. The chart is calculated by dividing the total transaction count with the customer count for each age group. If there is insufficient data in selection, gaps and isolated points may occur. |
| Average Transaction Spend | This chart shows the average customer spend by age group. It is useful in identifying which customers are spending the most in a single transaction. The chart is calculated by dividing the total transaction value with the transaction count for each age group. If there is insufficient data in selection, gaps and isolated points may occur. |
| Customer Demographics | This chart shows the percentage of unique individual customers by age group. It is useful in identifying where your largest customer base is. If there is insufficient data in selection, gaps and isolated points may occur. |
| Customer Value Segments | This chart groups your customers into 10 segments based on their average customer value, with #1 segment being the most valuable 10% of customers and #10 segment being the least valuable 10%. A skewed graph indicates a smaller group of your customers make a large contribution to the overall spending. Click on a segment to reveal what proportion of the total spending they account for. Click on the legends at the bottom to switch between your selected catchments. |
| Customer Value Segment by Age Group | This chart shows the distribution of customer’s age brackets within each customer segment. It can help indicate if there is a high percentage of customers from a particular age group in your most valuable customer segment. Click on the legend at the bottom to switch between your selected catchments. |
| Gender Distribution | This chart shows the percentage of unique customers by gender, based on the data available. It is useful in identifying where your largest customer base is and where you are over or under-represented in relation to the total population. The ABS data is from the Australian Bureau of Statistics’ most recent census. The gender where the ABS data is higher than your demographics, is the gender that potentially has a larger area for growth. Click on the legends at the bottom to switch between your selected catchments. |
| Monthly Average Customer Spend | This chart shows the average customer spend per month. It is useful in identifying how valuable your customers are over time, particularly, how much they spend each month in total. If this graph is trending upwards, it means that, overall, your customers are spending more in your stores. Use the toggle to switch to a normalised view. The normalised view represents the percentage compared to a base line of the earliest available data point in the graph. If there is insufficient data in selection, gaps and isolated points may occur. |
| Monthly Average Transaction Value | This chart shows the average transaction value per month. It is useful in identifying how customer spending habits have changed over time, particularly, how much they spend per transaction. If this graph is trending upwards, it means that customers are spending more each time they go to the counter. Use the toggle to switch to a normalised view. The normalised view represents the percentage compared to a base line of the earliest available data point in the graph. If there is insufficient data in selection, gaps and isolated points may occur. |
| Monthly Unique Customer Count | This chart shows the number of unique customers per month. It is useful in identifying how many customers are shopping at your stores over time. If this chart is trending upwards, it means that each month, more total customers are visiting your stores. Use the toggle to switch to a normalised view. The normalised view represents the percentage compared to a base line of the earliest available data point in the graph. If there is insufficient data in selection, gaps and isolated points may occur. |
| Recency Frequency Distribution (Last 24 Months) | This chart indicates the relationship for your customers between how frequently they make transactions and the time since the last transaction. Buckets on the right-hand side of the graph contain customers that frequently make transactions and vice versa. Buckets at the bottom of the graph contain customers who have recently made a transaction. The circle indicates which buckets have more than 5% of your customers. Click on the legends at the bottom to switch between your selected catchments. |
It is useful when comparing with Customer Demographics to understand where you are over or under-represented in relation to the total population.
Those age groups where the ABS data is higher than your demographics, are groups that potentially have a larger area for growth over others.
The chart is calculated by dividing the total transaction value with the unique customer count for each age group.
The chart is calculated by dividing the total transaction count with the customer count for each age group.
A skewed graph indicates a smaller group of your customers make a large contribution to the overall spending.
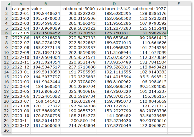
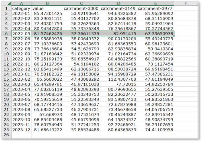
Sample exported file:
It can help indicate if there is a high percentage of customers from a particular age group in your most valuable customer segment.
The ABS data is from the Australian Bureau of Statistics’ most recent census. The gender where the ABS data is higher than your demographics, is the gender that potentially has a larger area for growth.
If this graph is trending upwards, it means that, overall, your customers are spending more in your stores.
If this graph is trending upwards, it means that customers are spending more each time they go to the counter.
Sample exported file:
If this chart is trending upwards, it means that each month, more total customers are visiting your stores.
Buckets on the right hand side of the graph contain customers that frequently make transactions and vice versa. Buckets at the bottom of the graph contain customers who have recently made a transaction. The circle indicates which buckets have more than 5% of your customers.
Sample exported file: